ARAÚJO, Jevuks M., SIQUEIRA, Rozane B. Demanda por gastos públicos locais: evidências dos efeitos de ilusão fiscal no Brasil. Estud. Econ. vol.46 no.1 São Paulo Jan./Mar. 2016.
BRASIL. Constituição (1988). Constituição da República Federativa do Brasil de 1988. Brasília, DF: Presidência da República, 2021. Disponível em: http://www.planalto.gov.br/ccivil_03/constituicao/ConstituicaoCompilado.htm. Acesso em: 07 de março de 2024.
BRASIL. Lei Complementar nº 101 de 4 de maio de 2000 - Lei de Responsabilidade Fiscal. Brasil: Presidência da República, 2000. Disponível em: http://www.planalto.gov.br/ccivil_03/leis/lcp/lcp101.htm. Acesso em: 07 de março de 2024.
BRASIL. Lei Complementar nº 131 de 27 de maio de 2009 - Lei da Transparência. Brasil: Presidência da República, 2009. Disponível em: https://www.planalto.gov.br/ccivil_03/leis/lcp/lcp131.htm. Acesso em: 07 de março de 2024.
BRASIL. Lei nº 4.769, de 9 de setembro de 1965. Brasil: Presidência da República, 1965. Disponível em: http://www.planalto.gov.br/ccivil_03/leis/l4769.htm. Acesso em: 07 de março de 2024.
BRASIL. Decreto nº 10.540, de 5 de novembro de 2020 que dispõe sobre o padrão mínimo de qualidade do Sistema Único e Integrado de Execução Orçamentária, Administração Financeira e Controle. Disponível em: https://www2.camara.leg.br/legin/fed/decret/2020/decreto-10540-5-novembro-2020-790779-publicacaooriginal-161753-pe.html. Acesso em: 07 de março de 2024.
CEARÁ. Decreto Estadual nº 35.087, de 30 de dezembro de 2022 - aperfeiçoa e adequa a metodologia para cálculo do Índice Municipal de Qualidade Educacional (IQE), à política educacional definida pela Secretaria da Educação do Estado do Ceará - SEDUC. Disponível em: https://www.ipece.ce.gov.br/legislacao-cota-parte-icms/. Acesso em: 07 de março de 2024.
CEARÁ. Decreto Estadual nº 33.424 de 07 de janeiro de 2020 - Modifica o Índice Municipal de Qualidade da Saúde (IQS). Disponível em: https://www.ipece.ce.gov.br/legislacao-cota-parte-icms/. Acesso em: Acesso em: 07 de março de 2024.
CEARÁ. Decreto Estadual nº 35.051, de 15 de dezembro de 2022 (CEARÁ, 2022) que modificou as regras do Índice Municipal de Qualidade do Meio Ambiente (IQM) leva em consideração indicadores de elevada importância na mensuração de condições ambientais com foco na Gestão de Resíduos Sólidos. Disponível em: https://www.ipece.ce.gov.br/cota-parte-do-icms/. Acesso em: Acesso em: 07 de março de 2024.
CLP. Ranking de Competitividade dos Municípios. Rio de Janeiro: CLP, 2022. Disponível em: https://municipios.rankingdecompetitividade.org.br/. Acesso em: 07 de março de 2024.
FAUSTO, M. C.R., GIOVANELLA, L, MENDONÇA, M. H. M. de, FONSECA, H. M. S., LIMA, J. G. A posição da estratégia saúde da família na rede de atenção à saúde na perspectiva das equipes e usuários participantes do PMAQ - AB 2012. Saúde Debate. 2014. Disponível em: https://www.redalyc.org/pdf/4063/406341750003.pdf. doi: 10.5935/0103-1104.2014S003. Acesso em: 07 de março de 2024.
FIRJAN. Índice Firjan de Gestão Fiscal 2022 - Anexo Metodológico. Rio de Janeiro: Firjan, 2022. (Índice Firjan) (Pesquisas e Estudos Socioeconômicos). Disponível em: https://www.firjan.com.br/ifgf/. Acesso em: 07 de março de 2024.
IBGE. Perfil dos municípios brasileiros. Rio de Janeiro. 2019. 94 pg. Disponível em: https://biblioteca.ibge.gov.br/index.php/biblioteca-catalogo?view=detalhes&id=2101770. Acesso em: 07 de março de 2024.
IBGE. Censo Demográfico. Rio de Janeiro. 2022. Disponível em: https://www.ibge.gov.br/estatisticas/sociais/populacao/22827-censo-demografico-2022.html. Acesso em: 07 de março de 2024.
Ipece. Índice Comparativo de Gestão Municipal (ICGM) dos municípios cearenses - 2016. Fortaleza, Ce: Ipece, 2018. (Nota Técnica nº 67). Disponível em: https://www.ipece.ce.gov.br/notas-tecnicas/. Acesso em: 07 de março de 2024.
Ipece. Metodologia para Padronização dos Indicadores do Índice Comparativo de Gestão Municipal - ICGM. Fortaleza, Ce: Ipece, 2024. (Nota Técnica nº 81). Disponível em: https://www.ipece.ce.gov.br/notas-tecnicas/. Acesso em: 18 de março de 2024.
JANNUZZI, Paulo de Martino. Indicadores para diagnóstico, monitoramento e avaliação de programas sociais no Brasil. Revista do Serviço Público, v 56 nº 2. Brasília: ENAP. Abr/Jun 2005. Disponível em: https://revista.enap.gov.br/index.php/RSP/article/view/222/227. Acesso em: 22 de fevereiro de 2024.
JANNUZZI, Paulo de Martino. Indicadores Sociais no Brasil - Conceitos, Fontes de Dados e Aplicações. 6ª edição. Campinas, SP: Editora Alínea, 2017. Disponível em: https://edisciplinas.usp.br/pluginfile.php/30746/mod_resource/content/1/Paulo%20Jannuzzi%20-%20Cap%2002.pdf. Acesso em: 22 de fevereiro de 2024.
MEIRELLES, Hely Lopes. Direito Municipal Brasileiro. São Paulo: Malheiros, 2008. Disponível em: https://www.academia.edu/36602872/Direito_municipal_brasileiro_meirelles. Acesso em: 20 de fevereiro de 2022.
MICLOS, Paula Vitali, CALVO, Maria Cristina Marino e COLUSSI, Claudia Flemming. Avaliação do desempenho das ações e resultados em saúde da atenção básica. Revista Saúde Pública. 2017; 51:86. Disponível em: https://www.scielosp.org/pdf/rsp/2017.v51/86/pt. Acesso em: 22 de fevereiro de 2024.
PENA, Rodolfo F. Alves. Hierarquia urbana mundial. Brasil Escola. Disponível em: https://brasilescola.uol.com.br/geografia/hierarquia-urbana-mundial.htm. Acesso em 21 de fevereiro de 2023.
PONTES, Marcela Amaral, TAVARES, Noemia Uruth Leão, FRANCISCO, Priscila Maria Stolses Bergamo, NAVES, Janeth de Oliveira Silva. Aplicação de recursos financeiros para aquisição de medicamentos para atenção básica em municípios brasileiros. Revista Ciência & Saúde Coletiva. Vol. 22 - nº 8. Rio de Janeiro-RJ: Associação Brasileira de Saúde Coletiva (ABRASCO), agosto/2017. Disponível em: https://cienciaesaudecoletiva.com.br/artigos/aplicacao-de-recursos-financeiros-para-aquisicao-de-medicamentos-para-atencao-basica-em-municipios-brasileiros/15874. Acesso em: 07 de março de 2024.
RIANI, Flávio. Economia do Setor Público: Uma Abordagem Introdutória. Editora Atlas S.A., 4ª Edição, São Paulo. 2002.
SEIDL, H. M. F., VIEIRA, S. P., FAUSTO, M. C. R., LIMA, R. C. D., GAGNO, J. L. Gestão do trabalho na atenção básica em saúde: uma análise a partir da perspectiva das equipes participantes do PMAQ-2012. Saúde Debate. 2014. Disponível em: https://www.scielo.br/j/sdeb/a/NNBGZtcDZR6MH56gb3dWHZS/abstract/?lang=pt. Acesso em: 07 de março de 2024.
SESI PR. Construção e Análise de Indicadores. Curitiba - PR: Serviço Social da Indústria. Departamento Regional do Estado do Paraná. Observatório Regional Base de Indicadores de Sustentabilidade, 2010. Disponível em: http://lproweb.procempa.com.br/pmpa/prefpoa/observatorio/usu_doc/construcao-e-analise-de-indicadores.pdf. Acesso em: 07 de março de 2024.
TCESP. Índice de Efetividade da Gestão Municipal: Manual 2021, dados do exercício 2019. São Paulo: TCESP, 2019. Disponível em: https://www.tce.sp.gov.br/publicacoes/manual-ieg-m-2021. Acesso em: 07 de março de 2024.
WILLEMANN, M. C. A., MEDEIROS, J. M., LACERDA, J. T., CALVO, M. C. M. Atualização intercensitária de estratificação de municípios brasileiros para avaliação de desempenho em saúde, Epidemiol. Serviço de Saúde. 2019. Vol. 28(3). DOI: 10.5123/s1679-49742019000300004. Disponível em: http://scielo.iec.gov.br/pdf/ess/v28n3/2237-9622-ess-28-03-e2018377.pdf. Acesso em: 07 de março de 2024.
Apêndice 1: Ficha Técnica dos Indicadores
PLANEJAMENTO

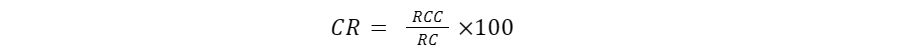
Onde:
CR = Captação de Recursos (%)
RCC = Valor de Recursos Captados em Convênio (R$)
RC = Receita Corrente Total (R$)

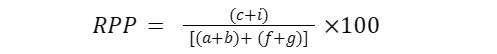
Onde:
RPP = Restos a Pagar Pagos (%)
a = Restos a Pagar Não Processados em Exercícios Anteriores - RPNPea (R$)
b = Restos a Pagar Não Processados em 31 de dezembro do ano anterior - RPNP3112 (R$)
c = Restos a Pagar Não Processados Pagos - RPNPPg (R$)
f = Restos a Pagar Processados em Exercícios Anteriores - RPPea (R$)
g = Restos a Pagar Processados em 31 de dezembro do ano anterior - RPP3112 (R$)
i = Restos a Pagar Processados Pagos - RPPPg (R$)
RECURSOS FINANCEIROS
Composição da Receita

Onde:
IT = Independência Tributária
Fórmula:

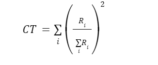
Onde:
CT = Complexidade Tributária
Ri = IPTU, ITBI, ISSQN, Taxas e Contribuições de Melhoria
Alocação de Despesa


Comprometimento da Receita Corrente Líquida (RCL)



SERVIÇOS
TRANSPARÊNCIA

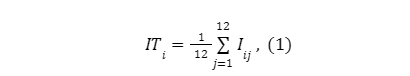
Onde:
IT = Indicador de Transparência
ITi = Indicador de Transparência do município i;
Iij = Valor do indicador (0 ou 1) do município i em determinado mês j;
Desse modo, a partir do cálculo do Indicador de Transparência, tem-se uma medida de tendência