A construção de índices de gestão para os estados brasileiros é mais factível do que para os municípios, onde sua principal limitação recai sobre a disponibilidade de dados. Além disso, problemas como descontinuidade de informação dificultam a escolha de indicadores que alicercem a construção de um índice de gestão municipal.
Na contramão disso, a legislação sobre transparência e informação, o aumento na fiscalização e a cobrança pelos Tribunais de Contas e o desenvolvimento da Tecnologia da Informação e Comunicação (TIC) podem ser considerados os principais responsáveis pelo aumento na disponibilidade de bases de dados municipais, permitindo, atualmente, a criação de indicadores que auxiliem no monitoramento e na avaliação das políticas públicas em prol da eficiência e efetividade da gestão pública.
Neste contexto e com o objetivo de identificar as melhores variáveis por área, para a formulação do ICGM, foram definidas quatro dimensões, a saber: Planejamento, Recursos Financeiros, Serviços e Transparência. A partir destas áreas foram selecionados, inicialmente, 13 indicadores, apresentados a seguir na Figura 2.

Figura 2: Dimensões, Grupos e Indicadores do Índice Comparativo de Gestão Municipal - ICGM. Fonte e elaboração: Ipece.
2.1 Dimensões e Indicadores
2.1.1 Planejamento
Relativamente aos indicadores de planejamento do setor público municipal, buscou-se, de forma sintética, a partir dos dados constantes no Relatório Resumido de Execução Orçamentária (RREO), saber a capacidade do poder público municipal de obter recursos de transferência, por meio de convênios, de outros entes e se está pagando ou não suas despesas dentro do próprio exercício, obedecendo ao seu planejamento orçamentário.
Destaque-se, que para a obtenção desse tipo de recursos, o município deve empreender um considerável esforço para o qual se pressupõe a existência de uma estrutura burocrática qualificada.
Para essa análise, foram identificados dois indicadores que ajudam na análise do planejamento orçamentário do município: Captação de Recursos (CR) e Restos a Pagar Pagos (RPP). As fichas técnicas desses dois indicadores se encontram no Apêndice 1.
2.1.1.1 Captação de Recursos (CR)
O primeiro indicador dessa primeira dimensão, Captação de Recursos (CR), busca mensurar a importância que os recursos de convênios apresentam na execução orçamentária. Como as transferências por convênio são voluntárias e, normalmente, exigem a elaboração de planejamento de ações, entende-se, facilmente, que os municípios que apresentam maiores montantes recebidos dessa forma possuem estrutura burocrática suficientemente organizada e capacitada para identificar e providenciar a habilitação do município para recebê-los.
O cálculo do indicador Captação de Recursos (CR) é obtido pela razão entre o valor total dos Recursos Captados em Convênio (RCC) e o valor total da Receita Corrente - 1.0.0.0.00.0.0 (RC) do município em um determinado ano, ou seja, quanto maior esse indicador, significa que o município tem mais capacidade de realizar convênios para o aumento das suas próprias receitas no presente ano. Esse indicador é proposto em Riani (2002).
Os dados são disponibilizados pelo Sistema de Informações Contábeis e Fiscais do Setor Público Brasileiro (SICONFI) / Consultas / Consultas Finbra / Contas Anuais / Receitas Orçamentárias (Anexo I - C). O valor de Recursos Captados em Convênio (RCC) é obtido pelas contas:
2.1.1.2 Restos a Pagar Pagos (RPP)
O segundo indicador dessa primeira dimensão é Restos a Pagar Pagos (RPP). É importante lembrar que, no começo de cada exercício, o município necessita apresentar uma programação de pagamento de Restos a Pagar de exercícios anteriores, logo se o planejamento for coerente com a capacidade financeira do município, é esperado que seja paga a totalidade, ou valores próximos, do que foi inicialmente programado.
O valor do indicador Restos a Pagar Pagos (RPP) é, também, obtido no SICONFI / Consultas / Consultas Finbra / Contas Anuais / Execução de Restos a Pagar (Anexo I - G). O cálculo é obtido pela razão entre a soma do valor total das despesas, exceto as intraorçamentárias, dos Restos a Pagar Não Processados Pagos - RPNPPg (c) mais os Restos a Pagar Processados Pagos - RPPPg (i) pela soma do valor total dos Restos a Pagar Não Processados (RPNP) mais os Restos a Pagar Processados (RPP), ou seja, quanto maior esse indicador, significa que mais os gestores estão preocupados com a solvência das contas públicas para os exercícios futuros.
Os Restos a Pagar Não Processados (RPNP) é a soma dos Restos a Pagar Não Processados em Exercícios Anteriores - RPNPea (a) mais os Restos a Pagar Não Processados em 31 de dezembro do ano anterior - RPNP3112 (b). Os Restos a Pagar Processados (RPP) é a soma dos Restos a Pagar Processados em Exercícios Anteriores - RPPea (f) mais os Restos a Pagar Processados em 31 de dezembro do ano anterior - RPP3112 (g).
2.1.2 Recursos Financeiros
A segunda dimensão tem por base a execução orçamentária dos municípios, mensurando características relacionadas tanto às receitas como às despesas. Busca-se, nesta dimensão, identificar fatores como a rigidez das despesas orçamentárias e o esforço do poder público municipal em aumentar ou diversificar suas fontes de recursos próprios.
Esta segunda dimensão é dividida em três grupos distintos: (i) Composição das Receitas (ii) Alocação das Despesas; e (iii) Comprometimento da Receita Corrente Líquida.
No primeiro grupo da Composição das Receitas são utilizados dois indicadores: Independência Tributária (IT) e Complexidade Tributária (CT). No segundo grupo da Alocação das Despesas também são utilizados dois indicadores: Despesa de Pessoal (DP) e Investimentos (INV). Por fim, no terceiro grupo do Comprometimento da Receita Corrente Líquida são utilizados três indicadores: Gasto com Pessoal pela Receita Corrente Líquida (GPRCL); Gasto com Saúde pela Receita Corrente Líquida (GSRCL) e Gasto com Educação pela Receita Corrente Líquida (GERCL). As fichas técnicas de todos estes indicadores se encontram no Apêndice 1.
2.1.2.1 Composição das Receitas
O primeiro grupo de indicadores desta segunda dimensão, Composição da Receita, tem por objetivo analisar o esforço que o poder público municipal empreende para melhorar sua capacidade de financiamento com recursos próprios.
2.1.2.1.a. Independência Tributária (IT)
Nesse sentido, o primeiro indicador Independência Tributária (IT) permite mensurar diretamente quanto da receita corrente municipal provém de tributos e taxas arrecadados pelo próprio município (RIANI, 2002).
O valor do indicador Independência Tributária (IT) é, também, obtido no SICONFI / Consultas / Consultas Finbra / Contas Anuais / Receitas Orçamentárias (Anexo I - C). O cálculo é obtido pela razão entre o valor total das Receitas Tributárias (RT), composto pela conta Impostos, Taxas e Contribuições de Melhoria - 1.1.0.0.00.0.0 e o valor total da Receita Corrente - 1.0.0.0.00.0.0 (RC) em um determinado ano, ou seja, quanto maior esse indicador, maior o esforço do gestor em aumentar a arrecadação própria do município e menor dependência de transferências e repasses da União e do Estado.
2.1.2.1.b. Complexidade Tributária (CT)
Em seguida, no indicador de Complexidade Tributária (CT), pretende-se verificar se as receitas municipais são diversificadas ou concentradas em um ou dois tributos. Deve-se pontuar que a receita tributária mais diversificada é desejada por refletir uma estrutura tributária não concentrada em uma única fonte de receita. Deve-se pontuar, também, que uma maior complexidade é um indicativo da existência de uma estrutura tributária local, na forma de legislação e organização específica, mais complexa.
Para o cálculo do Indicador de Complexidade Tributária (CT) foi utilizado o Índice de Herfindahl-Hirschman (IHH), sugerido por Araújo e Siqueira (2016), que permite identificar o quanto a receita tributária é concentrada entre os tributos locais, ou seja, quanto maior, pior é a complexidade tributária deste município.
O valor do indicador Complexidade Tributária (CT) é, também, obtido no SICONFI / Consultas / Consultas Finbra / Contas Anuais / Receitas Orçamentárias (Anexo I - C). Para o cálculo do Índice de Herfindahl-Hirschman (IHH) são utilizadas as seguintes contas:
2.1.2.2 Alocação das Despesas
No segundo grupo desta segunda dimensão, analisa-se a Alocação das Despesas tendo por base a rigidez do gasto corrente e o gasto discricionário em investimentos.
2.1.2.2.a. Despesa de Pessoal (DP)
O primeiro indicador do segundo grupo, Despesa de Pessoal (DP), permite dimensionar o quanto da Despesa Corrente está comprometida com as Despesas de Pessoal, devendo-se lembrar de que esta última é uma despesa obrigatória e que apresenta considerável rigidez no curto prazo.
O valor do indicador Despesa de Pessoal (DP) é, também, obtido no SICONFI / Consultas / Consultas Finbra / Contas Anuais / Despesas Orçamentárias (Anexo I - D). Para o cálculo deste indicador divide-se o valor total das Despesas de Pessoal e Encargos Sociais - 3.1.00.00.00 (DP) pelo valor total das Despesas Correntes - 3.0.00.00.00 (DC) em um determinado período. Deve-se frisar que se esperam valores mais elevados, dado que a despesa com pessoal é, de uma forma geral, a principal despesa dos municípios. Quanto menor for este resultado, supõe-se que a administração do serviço público seja mais enxuta.
2.1.2.2.b. Investimentos (INV)
Já o segundo indicador do segundo grupo, Investimentos (INV), mensura a alocação nos investimentos e foi incluído na análise pois esse tipo de gasto, por hipótese, implica ou o aumento da capacidade produtiva do município, ou o incremento do bem-estar geral dos munícipes.
O valor do indicador Investimentos (INV) é, também, obtido no SICONFI / Consultas / Consultas Finbra / Contas Anuais / Despesas Orçamentárias (Anexo I - D). Este indicador é calculado a partir da razão entre o valor total de Investimentos - 4.4.00.00.00 (I) e o valor total das Despesas Orçamentárias (DO), que é dada pela somatória do valor total das Despesas Correntes - 3.0.00.00.00 (DC) e o valor total das Despesas de Capital - 4.0.00.00.00 (DK), em um determinado período. Por isso, quanto maior o resultado, melhor para o município.
2.1.2.3 Comprometimento da Receita Corrente Líquida
Por fim, o terceiro grupo de indicadores dessa segunda dimensão objetiva mensurar o quanto a Receita Corrente Líquida (RCL) está comprometida com os gastos com Pessoal, Saúde e Educação realizados pelo poder público municipal.
O valor dos indicadores que compõem o Comprometimento da Receita Corrente Líquida é, também, obtido no SICONFI / Consultas / Consultas Finbra:
2.1.2.3.A. Gasto com Pessoal pela RCL (GPRCL)
O primeiro indicador deste terceiro grupo é o Gasto com Pessoal pela Receita Corrente Líquida, que reflete o comprometimento da RCL com pagamento de pessoal, sendo esse indicador preconizado pela Lei de Responsabilidade Fiscal (BRASIL, 2000), que estabelece como limite máximo o percentual de 60%. Destaque-se que quanto maior esse comprometimento, menos recursos estão disponíveis para outras políticas públicas. Ultrapassado este limite, o gestor municipal poderá sofrer improbidade administrativa. Espera-se que quanto menor o valor deste indicador, melhor será a gestão municipal.
Para o cálculo deste indicador, divide-se o valor total das Despesas de Pessoal e Encargos Sociais - 3.1.00.00.00 (DP) pelo valor da Receita Corrente Líquida (RCL) de um determinado município, obtidos a partir dos anexos “I - D” e “03”, citados anteriormente.
2.1.2.3.B. Gasto com Saúde pela RCL (GSRCL)
O segundo indicador deste terceiro grupo, Gasto com Saúde pela Receita Corrente Líquida, reflete o percentual das despesas com gastos em Saúde sobre a RCL, representando o quanto o poder público municipal compromete de seus recursos disponíveis no financiamento de serviços públicos em saúde para sua população.
Para o cálculo deste indicador, divide-se o valor total das Despesas com Saúde - 10 (DS) pelo valor da Receita Corrente Líquida (RCL) de um determinado município, obtidos a partir dos anexos “I - E” e “03”, citados anteriormente.
2.1.2.3.C. Gasto com Educação pela RCL (GERCL)
Por fim, o terceiro indicador, Gasto com Educação pela Receita Corrente Líquida, reflete o quanto da RCL, a gestão municipal dedica com gastos em Educação, representando o quanto o poder público municipal compromete de seus recursos disponíveis no financiamento de serviços públicos em educação para atender a sua população.
Para o cálculo deste indicador, divide-se o valor total das Despesas com Educação - 12 (DE) pelo valor da Receita Corrente Líquida (RCL) de um determinado município, obtidos a partir dos anexos “I - E” e “03”, citados anteriormente.
Deve-se pontuar que o indicador de Gasto com Educação, aqui apresentado, não reflete o comprometimento do gasto mínimo com educação preconizado no Artigo 212 da Constituição Federal, porém pode ser considerado uma proxy. Espera-se que quanto maior for o Gasto com Saúde e com Educação em relação à RCL, melhor para o município.
2.1.3 Serviços
A terceira dimensão do cálculo do ICGM é a de Serviços relacionados à Educação Básica; Saúde Básica; e Limpeza Urbana e Resíduos Sólidos. A referida dimensão utiliza três conjuntos de indicadores, o Índice Municipal de Qualidade Educacional (IQE), o Índice Municipal de Qualidade da Saúde (IQS) e o Índice Municipal de Qualidade do Meio Ambiente (IQM), índices já consolidados e de reconhecimento no meio científico.
Todos esses três índices são oriundos da metodologia do Cálculo da Cota Parte do Imposto sobre Circulação de Mercadorias e Serviços (ICMS) elaborados anualmente pelo Instituto de Pesquisa e Estratégia Econômica do Ceará (Ipece) e disponibilizados por meio da legislação publicada em Diário Oficial. Os dados são enviados pelas secretarias estaduais: Secretaria da Educação (Seduc), Secretaria da Saúde (Sesa) e Secretaria do Meio Ambiente (Sema) ao Ipece até 30 de julho de cada ano. A Cota Parte é um mecanismo de transferência de recursos aos municípios cearenses baseado em resultados em áreas consideradas estratégicas: Educação, Saúde e Meio Ambiente.
A importância dos três índices relacionados à qualidade da Educação, da Saúde e do Meio Ambiente, como instrumento de política de distribuição da quota parte do ICMS cearense, tem como objetivo principal a formulação de políticas municipais para o desenvolvimento e o avanço nestas três áreas em parceria com o Estado. Portanto, daí a justificativa para sua utilização como uma das dimensões do cálculo do ICGM.
O repasse do ICMS pelo Estado é uma obrigação definida na Constituição Federal e deve levar em consideração, obrigatoriamente, a arrecadação municipal e outros pontos cuja definição fica a critério dos estados.
O objetivo da metodologia do Cálculo da Cota Parte do ICMS é instituir um mecanismo de recompensa, potencializando os resultados da política estadual, premiando os municípios com bom desempenho nas áreas de Educação, Saúde e Meio Ambiente, melhorando os resultados municipais em áreas estratégicas, com especial atenção à Educação, e estimulando desempenhos mais elevados e homogêneos.
Por fim, a citada metodologia visa mudar o paradigma na gestão pública da ênfase nos gastos para a ênfase nos resultados e fortalecer uma maior parceria entre o Estado e os Municípios para obter avanços em indicadores educacionais, de saúde e de meio ambiente.
2.1.3.1 Educação Básica
2.1.3.1.A. Índice Municipal de Qualidade Educacional (IQE)
O Índice Municipal de Qualidade Educacional (IQE) está fundamentado no Decreto Estadual nº 35.087, de 30 de dezembro de 2022 (CEARÁ, 2022) que aperfeiçoa e adequa a metodologia para cálculo do IQE, que passa a ter dois componentes: Desempenho (IQE_D) e Socioeconômico (IQE_S). O IQE é um coeficiente aplicado ao montante do ICMS que deve ser repassado aos municípios, ou seja, determina a fatia que cada um dos 184 municípios cearenses receberá de acordo com o seu desempenho na educação.
Na construção do Índice Municipal de Qualidade Educacional - Componente Desempenho (IQE_D) são considerados quatro indicadores no cálculo do Índice e utilizados dados do Sistema Permanente de Avaliação da Educação Básica do Ceará (Spaece), submetidos anualmente a todos os municípios e considerados indicadores para a Alfabetização (2º ano); Quinta Série do Ensino Fundamental; Nona Série do Ensino Fundamental e a Média da Taxa de Aprovação nas Nove Séries do Ensino Fundamental da rede municipal que revelem a melhoria nos resultados de aprendizagem e de aumento da equidade.
O Índice Municipal de Qualidade Educacional - Componente Socioeconômico (IQE_S) utiliza dados que integra o Sistema de Avaliação da Educação Básica (Saeb) que é um conjunto de sistemas de avaliação do ensino brasileiro, desenvolvido e gerenciado pelo Instituto Nacional de Estudos e Pesquisas Educacionais Anísio Teixeira (Inep). Para o cálculo do IQE_S, utiliza-se o Índice Socioeconômico Ajustado do Município, a partir do Indicador de Nível Socioeconômico do Saeb (Inse).
A importância desse índice é que ele leva em consideração a avaliação da proficiência dos alunos e a desigualdade de desempenho entre os estudantes da rede pública municipal, com base no rigor técnico e igualdade de tratamento, incentivando um esforço contínuo de melhoria dos indicadores da educação por parte dos municípios cearenses. Quanto maior o valor do coeficiente deste índice, melhor a qualidade dos serviços de educação básica para o município.
O uso desses indicadores tradicionais da área da educação e a forma de tratamento dado a partir de suas ponderações e seu uso na quota parte de repartição do ICMS cearense mostram a sua relevância e uso como instrumento de avaliação das condições de educação dos municípios cearenses.
2.1.3.2 Saúde Básica
2.1.3.2.A. Índice Municipal de Qualidade da Saúde (IQS)
A construção do Índice Municipal de Qualidade da Saúde (IQS) está respaldada legalmente no Decreto Estadual nº 33.424 de 07 de janeiro de 2020 (CEARÁ, 2020) e são levados em consideração indicadores de saúde tradicionais muito utilizados em várias políticas públicas e pesquisas acadêmicas, a saber: Taxa de Mortalidade Infantil, Taxa de Mortes por Acidente Vascular Cerebral (AVC), Taxa de Mortes por Infarto Agudo do Miocárdio (IAM), e Taxa de Mortes por Acidentes de Trânsito envolvendo Motocicletas. Esse conjunto de indicadores são de extrema relevância na avaliação da qualidade de saúde em uma determinada região revelando a importância desse indicador para uma boa avaliação das condições de saúde dos municípios cearenses. Quanto menor o valor destas taxas, melhor o coeficiente deste índice, melhor a qualidade dos serviços de saúde básica para o município.
2.1.3.3 Limpeza Urbana e Resíduos Sólidos
2.1.3.3.A. Índice Municipal de Qualidade do Meio Ambiente (IQM)
Por fim, o Decreto Estadual nº 35.051, de 15 de dezembro de 2022 (CEARÁ, 2022) que modificou as regras do Índice Municipal de Qualidade do Meio Ambiente (IQM) leva em consideração indicadores de elevada importância na mensuração de condições ambientais com foco na Gestão de Resíduos Sólidos, tanto para municípios consorciados como para os não consorciados.
Para os Municípios Consorciados:
Para os Municípios Não Consorciados:
Esses indicadores de forma isolada apresentam diferenças nas condições ambientais em cada município e de forma combinada possibilitam uma visão mais aprofundada da qualidade da gestão ambiental municipal. Quanto maior o valor deste índice, melhor a qualidade da Gestão de Resíduos Sólidos.
2.1.4 Transparência
2.1.4.1. Indicador de Transparência (IT)
Esta quarta dimensão mede o esforço dos gestores em permitir o acesso dos contribuintes às informações referentes à gestão pública e à interlocução do cidadão, aprimorando a administração participativa. A dimensão de Transparência possui apenas um componente, que até a quarta edição do ICGM (2018) utilizava o Índice de Transparência Municipal (ITM), calculado pelo Tribunal de Contas do Estado do Ceará (TCE-CE). Em 2018 o ITM/TCE foi descontinuado, o que levou o Ipece a modificar a metodologia para esta dimensão e criar, assim, o Indicador de Transparência (IT), calculado com base no acompanhamento mensal nos sítios eletrônicos e portais de transparências dos Poderes Executivo e Legislativo municipais realizado pelo Tribunal de Contas do Estado do Ceará (TCE-CE).
O TCE-CE realiza o monitoramento, visando cumprir os dispositivos da Lei Complementar nº. 101/2000 - Lei de Responsabilidade Fiscal (LRF), bem como os da Lei Complementar nº. 131/2009 - Lei da Transparência, no âmbito de suas competências e atribuições.
Nessa atividade desenvolvida pelo TCE, os requisitos são organizados em: Endereço Eletrônico, Transparência da Gestão Fiscal e acesso às demais informações, sendo observados três aspectos: o Padrão Mínimo de Qualidade, previsto no Inciso III, do §1º do Art. 48-A da citada LRF; a Transparência na Gestão Fiscal (G.F), caput do art. 48 da LRF; e Tempo Real (T.R.), conforme inciso II, também, do Art. 48 e Art. 48-A da LRF, relativamente aos quais a situação da transparência municipal é avaliada em Regular ou Irregular.
Vale ressaltar que a avaliação sob o aspecto do Padrão Mínimo de Qualidade foi suspensa em função do Decreto nº 10540/2021. Assim, atualmente, são considerados apenas os aspectos da Transparência na Gestão Fiscal (G.F) e do Tempo Real (T.R.).
No aspecto Transparência na Gestão Fiscal (G.F) são analisados 17 itens envolvendo, por exemplo, Plano Plurianual (PPA), Lei de Diretrizes Orçamentárias (LDO), Lei Orçamentária Anual (LOA), Relatório de Gestão Fiscal (RGF), entre outros. Para que um município tenha um resultado “SIM” e seja aprovado nesse aspecto, é necessário que todos itens sejam contemplados. No aspecto Tempo Real (T.R.) são analisados dois itens: receitas e despesas realizadas pelos municípios. Caso esses dois itens sejam atendidos, o município estará com um resultado “SIM”, indicando aprovação nesse aspecto.
Por fim, o TCE considera um município em situação Regular quanto a Transparência na Gestão Fiscal (G.F) e ao Tempo Real (T.R.) em determinado mês caso os dois aspectos sejam aprovados. Se for somente um aspecto aprovado ou nenhum dos dois o município estará em situação Irregular.
Dessa forma, ao longo de um ano tem-se 12 avaliações por parte do TCE, em que onde um município estará na situação Regular ou Irregular quanto a transparência. Assim, a nota de um determinado município poderá variar de 0 (situação Irregular em todos os meses) a 12 (situação Regular em todos os meses).
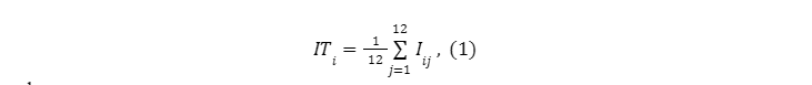
Nesse contexto, é proposto o Indicador de Transparência (IT), que busca medir a situação de transparência dos municípios cearenses ao longo de um determinado ano, conforme exposto na Fórmula 1, a partir da média aritmética das notas obtidas em cada um dos 12 meses de certo ano.


Desse modo, a partir do cálculo do Indicador de Transparência, tem-se uma medida de tendência central que quantifica e sumariza o valor da transparência dos municípios cearenses. Quanto mais próximo de 1 estiver o valor do IT, maior será a transparência.
2.2 Cálculo do Índice Comparativo de Gestão Municipal (ICGM 2023)
Após apresentar as quatro dimensões e lista de indicadores, serão destacados a seguir os dois critérios utilizados na escolha dos indicadores. O primeiro critério é a disponibilidade de dados em bases de dados de órgãos e instituições públicas, para todos os 184 municípios cearenses. Já o segundo critério envolve a escolha de variáveis possíveis de serem coletadas anualmente, de forma continuada e de fácil acesso, que atendessem as propriedades fundamentais para a construção de indicadores, conforme apresentado no Quadro 1. (JANNUZZI, 2017. JANNUZZI, 2005. SESI PR, 2010).
Quadro 1: Propriedades necessárias para a construção de um Indicador.
| Propriedade | Relação |
|---|---|
| Relevância | O porquê da construção, dado o contexto e o objetivo da agenda política |
| Validade | Grau de proximidade e representação entre o conceito e a medida do indicador |
| Confiabilidade | Qualidade dos dados (Coleta e Fonte) |
| Cobertura | Grau de cobertura territorial e populacional (representatividade) |
| Sensibilidade | Monitoramento e avaliação das políticas públicas em prol da eficiência e efetividade da gestão pública |
| Especificidade | Capacidade de refletir alterações relacionadas a dimensão de interesse |
| Transparência | Transparência das decisões metodológicas e das escolhas subjetivas |
| Comunicabilidade | Compreensão por parte da população e dos demais agentes públicos |
| Factibilidade | Aos custos e a disponibilidade de dados para o cálculo periódico |
| Periodicidade | Ao período de atualização do indicador |
| Desagregabilidade | Possibilidade de ser representativo para espaços geográficos reduzidos, grupos sociodemográficos, ou grupos vulneráveis específicos |
| Comparabilidade | Inferência de tendências e a avaliação de eventuais efeitos |
Elaboração: Ipece. Fonte: Adaptado dos autores citados.
Ademais, o ICGM leva em consideração questões relativas às diferenças entre cidades, por entender que certas características afetam de algum modo a gestão municipal. As cidades ao redor do mundo podem se diferenciar segundo as mais variadas características que lhe são peculiares, como aspectos geográficos, demográficos, econômicos e sociais. Além disso, suas vocações naturais contemplam as principais variáveis levantadas para compreender fatores que podem afetar a gestão municipal.
Além dessas características, Pena (2021) destaca que as cidades podem também ser classificadas a partir de seu grau de influência econômica e, também, política. Nesse sentido, levam-se em conta os mais diversos índices, como renda per capita, Produto Interno Bruto, índice populacional etc. Tal classificação é chamada de Hierarquia das Cidades ou Hierarquia Urbana.
Em razão de os critérios sobre a classificação hierárquica das cidades serem bem variados, existem vários tipos de hierarquias urbanas, com padronizações bem diferentes. Sendo assim, as cidades podem ser divididas, por exemplo, em cidades pequenas, médias e de grande porte.
As pequenas cidades costumam apresentar baixo grau de urbanização, pequenos índices populacionais e relevante dependência econômica para com outras cidades. Estas cidades, em função do seu pequeno porte, apresentam sérios problemas nas mais variadas áreas de serviços públicos municipais, principalmente por causa dos baixos recursos financeiros disponíveis.
Na sequência, as cidades de médio porte são aquelas que normalmente exercem certo grau de influência econômica sobre algumas pequenas cidades do seu entorno, mas não muito elevada. Estas cidades apresentam alguma vocação destacada na economia, oferecendo uma maior gama de serviços e de melhor qualidade se comparado às pequenas cidades. Todavia, também enfrentam dificuldades em relação à escassez de recursos disponíveis.
Por fim, as grandes cidades são aquelas que apresentam maior porte populacional e maior poder de influência econômica sobre outras cidades que muitas vezes transcendem as divisas estaduais. Essas cidades oferecem uma grande variedade de mercadorias para consumo e serviços, apoiando normalmente as cidades de pequeno e médio porte.
Neste contexto, é oportuno observar que o porte populacional, além de ser uma variável utilizada para hierarquizar cidades, vem sendo frequentemente utilizado como variável de estratificação de municípios brasileiros em vários estudos considerando diversas dimensões nas áreas, por exemplo, de gestão pública, educação, saúde e desigualdade de renda. Os estudos de Fausto et al. (2014); Seidl et al. (2014); Pontes et al. (2017); e Miclos et al. (2017), ressaltam a importância de usar os diferenciais de porte populacional em pesquisas na área de saúde.
Com a mesma preocupação, Willemann et al. (2019) desenvolveu, com base em dados do período censitário de 2010, um modelo de estratificação de municípios brasileiros para avaliação de desempenho da gestão em saúde considerando dentre suas variáveis também as diferenças populacionais.
Os autores citados ainda ressaltam que, em virtude de mudanças políticas, econômicas e sociais, quaisquer dados utilizados para estratificação municipal podem apresentar variações no médio e longo prazo, influenciando as condições de gestão nos municípios.
Diante do exposto, é possível perceber que, dependendo do grau de influência de uma cidade, a gestão municipal é fortemente afetada pelo porte hierárquico do município e, também, pelo grau de influência de seus vizinhos. Com isso, uma boa avaliação necessita de um melhor enquadramento das características de porte de um determinado município.
Para efeito de análise, o Instituto Brasileiro de Geografia e Estatística (IBGE, 2019) classifica as cidades brasileiras conforme a sua população do seguinte modo:
Dessa forma, o Índice Comparativo de Gestão Municipal (ICGM) utiliza em seu cálculo a segregação dos municípios cearenses por quatro portes populacionais, tendo em vista a identificação da relevância da separação dos municípios por estratos populacionais, para análise dos resultados na qualidade da gestão pública.
Ao considerar as sete faixas populacionais, apontadas pelo IBGE, foi possível agrupar as cidades cearenses em quatro grupos considerando seus diferentes portes populacionais, a saber:
Como o IBGE não estimou a população para o ano de 2023, a composição dos grupos populacionais se deu com base no Censo de 2022 do IBGE (2022) conforme a Tabela 1 com os quatro grupos populacionais e seus respectivos quantitativos de municípios cearenses, em que verifica-se que o Grupo Populacional 1 contém oito municípios cearenses, o Grupo Populacional 2 contém um total de vinte e nove municípios, o Grupo Populacional 3 contém sessenta municípios cearenses e por fim o Grupo Populacional 4 abrange oitenta e sete municípios. Vale ressaltar que de um ano para outro pode haver mudança dos municípios de Grupo Populacional na medida que pode haver aumento ou redução do número de habitantes estimado pelo IBGE.
Dessa forma, diante do critério de composição por grupos populacionais, foi possível realizar a construção das Tabelas 2.1, 3.2, 4.2 e 5.2, constantes nos Apêndices, com os indicadores, sem padronização, para todos os municípios e por grupo populacional.
Tabela 1: Municípios Cearenses por Porte e Faixa Populacional - População, Área e Densidade Demográfica - 2022.
| Porte Populacional | Faixa populacional | Municípios | População (hab.) | Área (km²) | Densidade Demográfica (hab./km²) |
| Grupo Populacional 1 | Acima de 100.000 hab. | 8 | 3.875.305 | 7.289,95 | 531,60 |
| Grupo Populacional 2 | De 50.001 a 100.000 hab. | 29 | 1.991.691 | 40.982,67 | 48,60 |
| Grupo Populacional 3 | De 20.001 a 50.000 hab. | 60 | 1.815.295 | 54.702,75 | 33,18 |
| Grupo Populacional 4 | Até 20.000 hab. | 87 | 1.112.666 | 45.919,07 | 24,23 |
| Total Geral | 184 | 8.794.957 | 148.894,44 | 59,07 |
Fonte: IBGE. Elaboração: Ipece.
Outro aspecto que foi arbitrado no cálculo do índice para os 184 municípios é que, caso aconteça a situação de não estar disponível alguma variável relativa a qualquer município pelo órgão ou instituição responsável, no ano de referência, então, será adotado o valor “zero” para a referida variável daquele município.
2.3 Cálculo dos Índices que compõem o ICGM
Para cada um desses indicadores e para cada município, associa-se um valor no intervalo [0,1], chamado de indicador padronizado, ou simplesmente de índice, que, em termos de porcentagem, indica o percentual que um município atingiu com relação ao município de melhor desempenho naquele indicador. Por exemplo, no indicador “Despesa com Pessoal” tem-se o valor gasto com pessoal, durante o ano considerado, para cada município, e, a partir desse valor, calcula-se um índice associado ao indicador de despesa com pessoal, como mostraremos a seguir.
Os indicadores podem ser de Polaridade Positiva (P1), ou seja, quanto maior o resultado do indicador, melhor o desempenho do município naquele indicador (Exemplo: PIB); ou Polaridade Negativa (P12), ou seja, quanto menor o resultado do indicador, melhor o desempenho do município naquele indicador (Exemplo: Mortalidade Infantil).
Estão classificados os seguintes indicadores na polaridade positiva (P1):
Os indicadores na polaridade negativa (P2) são:
2.3.1 Cálculo do índice associado a um indicador de Polaridade Positiva (P1)
Se x1,…, xn são os valores de um indicador de polaridade positiva (P1) e o maior desses valores é denotado por xmax=max{x1,…, xn}, então o índice associado a esse indicador será calculado pela fórmula:

2.3.2 Cálculo do índice associado a um indicador de Polaridade Negativa (P2)
O objetivo agora é apresentar uma fórmula para o cálculo do índice de um indicador de polaridade negativa (P2). Queremos que possua as seguintes propriedades: supondo que {x1,…, xn} são os dados de um indicador de polaridade negativa (P2) dos municípios e que xmin=min{x1,…, xn} seja o indicador de menor valor dentre os indicadores diferente de zero,


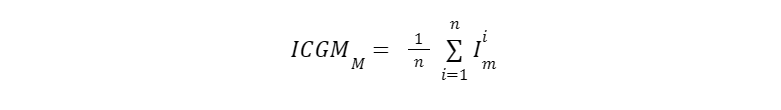
2.3.4 Cálculo do ICGM
Após o cálculo dos índices associados a cada um dos indicadores, em cada porte populacional, tem-se que o cálculo do Índice Comparativo de Gestão Municipal (ICGM) corresponde à média aritmética simples desses índices. Cabe destacar que a polarização do indicador é levada em consideração no cálculo de cada índice.
Para o cálculo dos índices, dividimos os indicadores em duas classes, a partir de sua polaridade:
(P1) quanto maior, melhor (polaridade positiva);
(P2) quanto menor, melhor (polaridade negativa).
O ICGM é então calculado pela média aritmética de todos os treze índices:

Onde:

Ressalta-se que o Índice Comparativo de Gestão Municipal (ICGM) carrega em sua essência a ideia de uma análise multidimensional de treze indicadores atinentes às atividades de planejamento, recursos financeiros, serviços e transparência, consentindo-se identificar relativamente em determinado ano os municípios com melhor gestão municipal dentro de seus grupos populacionais. Por se tratar de um índice que avalia relativamente indicadores dos municípios em um certo ano através da técnica de padronização, não se pode efetuar comparações do valor do ICGM de um município ao longo dos anos, sendo válida a comparação relativa em um determinado ano entre municípios.
Considerando o cálculo do ICGM, é possível então montar as principais etapas do processo do ranqueamento dos municípios, conforme apresentado na Figura 3:

Figura 3: Elaboração do Ranking dos municípios pelo resultado do ICGM. Fonte e Elaboração: Ipece.