ARAÚJO, Jevuks M., SIQUEIRA, Rozane B. Demanda por gastos públicos locais: evidências dos efeitos de ilusão fiscal no Brasil. Estud. Econ. vol.46 no.1 São Paulo Jan./Mar. 2016.
BRASIL. Constituição (1988). Constituição da República Federativa do Brasil de 1988. Brasília, DF: Presidência da República, 2021. Disponível em: http://www.planalto.gov.br/ccivil_03/constituicao/ConstituicaoCompilado.htm. Acesso em: 07 de março de 2024.
BRASIL. Lei Complementar nº 101, de 4 de maio de 2000 - Lei de Responsabilidade Fiscal. Brasil: Presidência da República, 2000. Disponível em: http://www.planalto.gov.br/ccivil_03/leis/lcp/lcp101.htm. Acesso em: 07 de março de 2024.
BRASIL. Lei Complementar nº 131, de 27 de maio de 2009 - Lei da Transparência. Brasil: Presidência da República, 2009. Disponível em: https://www.planalto.gov.br/ccivil_03/leis/lcp/lcp131.htm. Acesso em: 07 de março de 2024.
BRASIL. Lei nº 4.769, de 9 de setembro de 1965. Brasil: Presidência da República, 1965. Disponível em: http://www.planalto.gov.br/ccivil_03/leis/l4769.htm. Acesso em: 07 de março de 2024.
BRASIL. Decreto nº 10.540, de 5 de novembro de 2020, que dispõe sobre o padrão mínimo de qualidade do Sistema Único e Integrado de Execução Orçamentária, Administração Financeira e Controle. Disponível em: https://www2.camara.leg.br/legin/fed/decret/2020/decreto-10540-5-novembro-2020-790779-publicacaooriginal-161753-pe.html. Acesso em: Acesso em: 07 de março de 2024.
CEARÁ. Decreto Estadual nº 35.087, de 30 de dezembro de 2022 - aperfeiçoa e adequa a metodologia para cálculo do Índice Municipal de Qualidade Educacional (IQE), à política educacional definida pela Secretaria da Educação do Estado do Ceará - Seduc. Disponível em: https://www.ipece.ce.gov.br/legislacao-cota-parte-icms/. Acesso em: 07 de março de 2024.
CEARÁ. Decreto Estadual nº 33.424, de 7 de janeiro de 2021 - Modifica o Índice Municipal de Qualidade da Saúde (IQS). Disponível em: https://www.ipece.ce.gov.br/legislacao - cota - parte - icms/. Acesso em: 07 de março de 2024.
CEARÁ. Decreto Estadual nº 35.051, de 15 de dezembro de 2022 (CEARÁ, 2022), que modificou as regras do Índice Municipal de Qualidade do Meio Ambiente (IQM), leva em consideração indicadores de elevada importância na mensuração de condições ambientais com foco na Gestão de Resíduos Sólidos. Disponível em: https://www.ipece.ce.gov.br/cota-parte-do-icms/. Acesso em: 07 de março de 2024.
CLP. Ranking de Competitividade dos Municípios. Rio de Janeiro: CLP, 2022. Disponível em: https://conteudo.clp.org.br/rankings-de-competitividade-dos-estados-e-dos-municipios-2022?utm_source=google_grants&utm_medium=cpc&utm_campaign=ranking_dos_municipios_2022&gad_source=1&gclid=CjwKCAiA6KWvBhAREiwAFPZM7jfetgS0y85r9rbwmdqrp4GP0YK-PWCj-RdNF7lwAZR9Tpphte9UHhoCvpUQAvD_BwE. Acesso em: 07 de março de 2024.
FAUSTO, M. C.R., GIOVANELLA, L, MENDONÇA, M. H. M. de, FONSECA, H. M. S., LIMA, J. G. A posição da estratégia saúde da família na rede de atenção à saúde na perspectiva das equipes e usuários participantes do PMAQ - AB 2012. Saúde Debate. 2014. Disponível em: https://www.redalyc.org/pdf/4063/406341750003.pdf. doi: 10.5935/0103-1104.2014S003. Acesso em: 07 de março de 2024.
FIRJAN. Índice Firjan de Gestão Fiscal 2019 - Anexo Metodológico. Rio de Janeiro: Firjan, 2018. (Índice Firjan) (Pesquisas e Estudos Socioeconômicos). Disponível em: https://www.firjan.com.br/ifgf/. Acesso em: 07 de março de 2024.
IBGE. Perfil dos municípios brasileiros. Rio de Janeiro. 2019. 94 pg. Disponível em: https://biblioteca.ibge.gov.br/index.php/biblioteca-catalogo?view=detalhes&id=2101770. Acesso em: 07 de março de 2024.
IPECE. Índice Comparativo de Gestão Municipal (ICGM) dos municípios cearenses - 2016. Fortaleza, CE: Ipece, 2018. (Nota Técnica nº 67). Disponível em: https://www.ipece.ce.gov.br/notas-tecnicas/. Acesso em: 07 de março de 2024.
IPECE. Metodologia para Padronização dos Indicadores do Índice Comparativo de Gestão Municipal - ICGM. Fortaleza, CE: Ipece, 2024. (Nota Técnica nº 81). Disponível em: https://www.ipece.ce.gov.br/notas-tecnicas/. Acesso em: 18 de março de 2024.
JANNUZZI, Paulo de Martino. Indicadores para diagnóstico, monitoramento e avaliação de programas sociais no Brasil. Revista do Serviço Público, v 56 nº 2. Brasília: Enap. Abr/Jun 2005. Disponível em: https://revista.enap.gov.br/index.php/RSP/issue/archive. Acesso em: 07 de março de 2024.
JANNUZZI, Paulo de Martino. Indicadores Sociais no Brasil - Conceitos, Fontes de Dados e Aplicações. 6ª edição. Campinas, SP: Editora Alínea, 2017.
PONTES, Marcela Amaral, TAVARES, Noemia Uruth Leão, FRANCISCO, Priscila Maria Stolses Bergamo, NAVES, Janeth de Oliveira Silva. Aplicação de recursos financeiros para aquisição de medicamentos para atenção básica em municípios brasileiros. Revista Ciência & Saúde Coletiva. Vol. 22 - nº 8. Rio de Janeiro-RJ: Associação Brasileira de Saúde Coletiva (ABRASCO), agosto/2017. Disponível em: https://cienciaesaudecoletiva.com.br/artigos/aplicacao-de-recursos-financeiros-para-aquisicao-de-medicamentos-para-atencao-basica-em-municipios-brasileiros/15874. Acesso em: 07 de março de 2024.
RIANI, Flávio. Economia do Setor Público: Uma abordagem introdutória. Editora Atlas S.A., 4° Edição, São Paulo. 2002.
SEIDL, H. M. F., VIEIRA, S. P., FAUSTO, M. C. R., LIMA, R. C. D., GAGNO, J. L. Gestão do trabalho na atenção básica em saúde: uma análise a partir da perspectiva das equipes participantes do PMAQ-2012. Saúde Debate. 2014. Disponível em: https://www.scielo.br/j/sdeb/a/NNBGZtcDZR6MH56gb3dWHZS/abstract/?lang=pt. Acesso em: 07 de março de 2024.
SESI PR. Construção e Análise de Indicadores. Curitiba-PR: Serviço Social da Indústria. Departamento Regional do Estado do Paraná. Observatório Regional Base de Indicadores de Sustentabilidade, 2010. Disponível em: http://lproweb.procempa.com.br/pmpa/prefpoa/observatorio/usu_doc/construcao-e-analise-de-indicadores.pdf. Acesso em: 07 de março de 2024.
TCESP. Índice de Efetividade da Gestão Municipal: Manual 2021, dados do exercício 2019. São Paulo: TCESP, 2019. Disponível em: https://www.tce.sp.gov.br/publicacoes/manual-ieg-m-2021. Acesso em: 07 de março de 2024.
WILLEMANN, M. C. A., MEDEIROS, J. M., LACERDA, J. T., CALVO, M. C. M. Atualização intercensitária de estratificação de municípios brasileiros para avaliação de desempenho em saúde, Epidemiol. Serviço de Saúde. 2019. Vol. 28(3). DOI: 10.5123/s1679-49742019000300004. Disponível em: http://scielo.iec.gov.br/pdf/ess/v28n3/2237-9622-ess-28-03-e2018377.pdf. Acesso em: 07 de março de 2024.
Indicador: Captação de Recursos (CR)
Descrição do Indicador: Avalia a capacidade de captação de recursos do município. Valor de recursos captados em convênio dividido pela receita corrente total do município
Fórmula:

Onde:
CR = Captação de Recursos (%)
RCC = Valor de Recursos Captados em Convênio (R$)
RC = Receita Corrente Total (R$)
Unidade de Medida: Porcentagem (%)
Intervalo de Variação: De 0% a 100%
Polaridade: Quanto maior, melhor
Periodicidade: Anual
Ano da Informação: 2022
Data da Coleta: 20/3/2024
Fonte: Siconfi. Receitas Orçamentárias (Anexo I-C)
Endereço: https://siconfi.tesouro.gov.br/siconfi/index.jsf
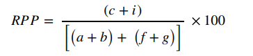
Indicador: Restos a Pagar Pagos (RPP)
Descrição do Indicador: Identificar os municípios com melhor planejamento de longo prazo, dado que valores implicam que os gestores estão preocupados com a solvência das contas públicas para os exercícios futuros.
Fórmula:

Onde:
RPP = Restos a Pagar Pagos (%)
a = Restos a Pagar Não Processados em Exercícios Anteriores - RPNPea (R$)
b = Restos a Pagar Não Processados em 31 de dezembro do ano anterior - RPNP3112 (R$)
c = Restos a Pagar Não Processados Pagos - RPNPPg (R$)
f = Restos a Pagar Processados em Exercícios Anteriores - RPPea (R$)
g = Restos a Pagar Processados em 31 de dezembro do ano anterior - RPP3112 (R$)
i = Restos a Pagar Processados Pagos - RPPPg (R$)
Unidade de Medida: Porcentagem (%)
Intervalo de Variação: De 0% a 100%
Polaridade: Quanto maior, melhor
Periodicidade: Anual
Ano da Informação: 2022
Data da Coleta: 20/3/2024
Fonte: Siconfi. Execução de Restos a Pagar por Função (Anexo I-G)
Endereço: https://siconfi.tesouro.gov.br/siconfi/index.jsf
Composição da Receita
Indicador: Independência Tributária (IT)
Descrição do Indicador: Tem por objetivo medir o quanto as receitas próprias representam na receita corrente.
Fórmula:

Onde:
IT = Independência Tributária
Unidade de Medida: Porcentagem (%)
Intervalo de Variação: De 0% a 100%
Polaridade: Quanto maior, melhor
Periodicidade: Anual
Ano da Informação: 2022
Data da Coleta: 6/3/2024
Fonte: Siconfi. Despesas Orçamentárias (Anexo I-C)
Endereço: https://siconfi.tesouro.gov.br/siconfi/index.jsf
Indicador: Complexidade Tributária (CT)
Descrição do Indicador: O Indicador de Complexidade Tributária, sugerido por Araújo e Siqueira (2016) (9), utiliza o índice de Hirschman-Herfindah (IHH) para identificar o quanto a receita tributária é concentrada entre os tributos locais
Fórmula:

Onde:
CT = Complexidade Tributária
Ri = IPTU, ITBI, ISSQN, Taxas e Contribuições de Melhoria
Unidade de Medida: Adimensional
Intervalo de Variação: De 0 a 100
Polaridade: Quanto menor, melhor. Quanto mais próximo de 0,2 melhor, indicando que a receita própria do município é distribuída em vários tributos
Periodicidade: Anual
Ano da Informação: 2022
Data da Coleta: 6/3/2024
Fonte: Siconfi. Despesas Orçamentárias (Anexo I-C) / Informe Ipece nº 165/2019
Endereço: https://siconfi.tesouro.gov.br/siconfi/index.jsf
Indicador: Despesa de Pessoal (DP)
Descrição do Indicador: Participação da despesa de pessoal na despesa corrente, deve-se frisar que se espera valores mais elevados, dado que a despesa com pessoal é, de uma forma geral a principal despesa dos municípios
Fórmula:

Unidade de Medida: Porcentagem (%)
Intervalo de Variação: De 0% a 100%
Polaridade: Quanto menor, melhor
Periodicidade: Anual
Ano da Informação: 2022
Data da Coleta: 6/3/2024
Fonte: Siconfi. Despesas Orçamentárias (Anexo I-D)
Endereço: https://siconfi.tesouro.gov.br/siconfi/index.jsf
Indicador: Investimentos (INV)
Descrição do Indicador: Participação da despesa de capital na despesa orçamentária
Fórmula:

Unidade de Medida: Porcentagem (%)
Intervalo de Variação: De 0% a 100%
Polaridade: Quanto maior, melhor
Periodicidade: Anual
Ano da Informação: 2022
Data da Coleta: 6/3/2024
Fonte: Siconfi. Despesas Orçamentárias (Anexo I-D)
Endereço: https://siconfi.tesouro.gov.br/siconfi/index.jsf
Indicador: Gasto com Pessoal pela Receita Corrente Líquida (GPRCL)
Descrição do Indicador: Comprometimento da RCL com o pagamento pessoal
Fórmula:

Unidade de Medida: Porcentagem (%)
Intervalo de Variação: De 0% a 100%
Polaridade: Quanto menor, melhor
Periodicidade: Anual
Ano da Informação: 2022
Data da Coleta: 6/3/2024
Fonte: Siconfi. Despesas Orçamentárias (Anexo I-D) / Anexo 03 - Demonstrativo da Receita Corrente Líquida
Endereço: https://siconfi.tesouro.gov.br/siconfi/index.jsf
Indicador: Gasto com Saúde pela Receita Corrente Líquida (GSRCL)
Descrição do Indicador: Comprometimento da RCL com despesas na função de saúde
Fórmula:

Unidade de Medida: Porcentagem (%)
Intervalo de Variação: De 0% a 100%
Polaridade: Quanto maior, melhor
Periodicidade: Anual
Ano da Informação: 2022
Data da Coleta: 6/3/2024
Fonte: Siconfi. Despesas por Função (Anexo I-E) / Anexo 03 - Demonstrativo da Receita Corrente Líquida
Endereço: https://siconfi.tesouro.gov.br/siconfi/index.jsf
Indicador: Gasto com Educação pela Receita Corrente Líquida (GERCL)
Descrição do Indicador: Comprometimento da RCL com despesas na função de educação
Fórmula:

Unidade de Medida: Porcentagem (%)
Intervalo de Variação: De 0% a 100%
Polaridade: Quanto maior, melhor
Periodicidade: Anual
Ano da Informação: 2022
Data da Coleta: 6/3/2024
Fonte: Siconfi. Despesas por Função (Anexo I-E) / Anexo 03 - Demonstrativo da Receita Corrente Líquida
Endereço: https://siconfi.tesouro.gov.br/siconfi/index.jsf
Indicador: Índice de Qualidade da Educação (IQE)
Descrição do Indicador: Decreto Estadual nº 35.087 - 30/12/2022.
Fórmula: Spaece-Alfa, Fundamental (matemática e português), Taxa de Aprovação Ensino Fundamental
Unidade de Medida: Adimensional
Intervalo de Variação: De 0 a 100
Polaridade: Quanto maior, melhor
Periodicidade: Anual
Ano da Informação: 2022
Data da Coleta: 1º/3/2024
Fonte: Ipece
Endereço: https://www.ipece.ce.gov.br/cota-parte-do-icms/
Indicador: Índice de Qualidade da Saúde (IQS)
Descrição do Indicador: Decreto Nº 33.424 - 07/01/2021.
Fórmula: Taxa de Mortalidade Infantil, Número de óbitos por AVC e IAM, Mortes por acidente de trânsito envolvendo motocicletas.
Unidade de Medida: Adimensional
Intervalo de Variação: De 0 a 100
Polaridade: Quanto maior, melhor
Periodicidade: Anual
Ano da Informação: 2022
Data da Coleta: 1º/3/2024
Fonte: Ipece
Endereço: https://www.ipece.ce.gov.br/cota-parte-do-icms/
Indicador: Índice de Qualidade do Meio Ambiente (IQM)
Descrição do Indicador: Decreto Estadual nº 35.051 - 15/12/2022
Fórmula:
Implantação da Estrutura Operacional definida pelo PGIRSU
Implantação da Coleta Sistemática
Implantação da Coleta Seletiva
A apresentação da Licença de Instalação válida para a disposição final dos Resíduos Sólidos Urbanos, preferencialmente consorciada
Apresentação da Lei Municipal que Ratifica o Protocolo de Intenções do Consórcio Municipal para Aterro de Resíduos Sólidos ou Consórcio Público para Gestão Integrada de Resíduos Sólidos.
Unidade de Medida: Adimensional
Intervalo de Variação: De 0 a 100
Polaridade: Quanto maior, melhor
Periodicidade: Anual
Ano da Informação: 2022
Data da Coleta: 1º/3/2024
Fonte: Ipece
Endereço: https://www.ipece.ce.gov.br/cota-parte-do-icms/
Indicador: Indicador de Transparência (IT)
Descrição do Indicador: Mede a situação de transparência dos municípios cearenses ao longo de um determinado ano, com base no monitoramento mensal do TCE, visando cumprir os dispositivos da Lei Complementar nº 101/2000 (Lei de Responsabilidade Fiscal - LRF) e da Lei Complementar nº 131/2009 (Lei da Transparência), avaliando dois aspectos: (i) Transparência na Gestão Fiscal e (ii) Tempo Real, podendo ser: Regular (1) ou Irregular (0).
Fórmula:
Fórmula 1, a partir da média aritmética das notas obtidas em cada um dos 12 meses de certo ano.

Onde:
= Indicador de Transparência
= Indicador de Transparência do município i;
= Valor do indicador (0 ou 1) do município i em determinado mês j;
Desse modo, a partir do cálculo do Indicador de Transparência tem-se uma medida de tendência
Unidade de Medida: Adimensional.
Intervalo de Variação: De 0 a 1.
Polaridade: Quanto maior, melhor.
Periodicidade: Anual.
Ano da Informação: 2022
Data da Coleta: 21/3/2022
Fonte: TCE, Ipece.
Endereço: https://www.tce.ce.gov.br/, https://www.ipece.ce.gov.br/
Tabela 2.1: Indicadores e Índice do ICGM 2022 por Ranking para os municípios do Grupo Populacional 1
Ordem Município ICGM Captação de recursos (%) (P3 / P4) Restos a Pagar Pagos (%) (RPP) Complexidade Tributária (%) Independência Tributária (%) Investimentos (I) (%) Despesa de Pessoal (DP) (%)
1º Sobral 0,86065 3,24849 92,78987 0,36122 11,34580 11,02082 42,27893
2º Crato 0,76063 3,96595 72,20687 0,50776 9,53871 10,57694 55,20634
3º Itapipoca 0,73917 6,99841 52,68073 0,53175 6,61584 9,43432 54,70690
4º Caucaia 0,71845 4,01223 70,34566 0,42466 14,80270 10,47142 56,89179
5º Fortaleza 0,71778 0,21536 71,88852 0,44814 27,24763 7,58808 58,71344
6º Maranguape 0,68410 3,19433 58,69525 0,46540 6,50797 3,99713 58,49115
7º Maracanaú 0,68249 0,21447 83,53888 0,43612 12,67316 13,68383 54,66655
8º Juazeiro do Norte 0,66419 0,94824 65,47543 0,44091 15,46696 7,76566 65,60672
Ordem Município Gasto com pessoal pela RCL (*) Gasto com saúde pela RCL (*) Gasto com educação pela RCL (*) IQE IQS IQM Indicador de Transparência
1º Sobral 40,25166 35,15358 30,15957 0,00809 0,00520 1,00000 1,00000
2º Crato 54,94441 33,91944 33,84980 0,00511 0,00542 1,00000 1,00000
3º Itapipoca 56,45547 29,79456 42,80736 0,00445 0,00546 1,00000 0,75000
4º Caucaia 64,91696 24,95356 51,01074 0,00186 0,00531 0,70000 0,91667
5º Fortaleza 61,38560 29,67031 26,30140 0,00400 0,00534 1,00000 1,00000
6º Maranguape 64,19411 32,90846 40,13730 0,00411 0,00571 1,00000 0,91667
7º Maracanaú 51,75458 28,27113 31,11935 0,00382 0,00520 0,30000 1,00000
8º Juazeiro do Norte 63,69754 26,56627 37,85333 0,00255 0,00571 1,00000 0,75000
Fonte: Ipece.
Tabela 3.1: Região de Planejamento, População e Índice do ICGM 2022 por Ranking para os municípios do Grupo Populacional 2
Ranking Município Região de Planejamento População ICGM
1º Granja Litoral Norte 53.344 0,72034
2º Tauá Sertões de Inhamuns 61.227 0,69109
3º Aracati Litoral Leste 75.113 0,67566
4º Russas Vale do Jaguaribe 72.928 0,67183
5º Barbalha Cariri 75.033 0,66334
6º Acaraú Litoral Norte 65.264 0,65833
7º Eusébio Grande Fortaleza 74.170 0,64783
8º Crateús Sertões de Crateús 76.390 0,64144
9º Horizonte Grande Fortaleza 74.755 0,64058
10º Boa Viagem Sertões de Canindé 50.411 0,63376
11º Brejo Santo Cariri 51.090 0,63234
12º Icó Centro Sul 62.642 0,63194
13º Limoeiro do Norte Vale do Jaguaribe 59.560 0,62980
14º Camocim Litoral Norte 62.326 0,61649
15º Quixeramobim Sertão Central 82.177 0,61589
16º Itaitinga Grande Fortaleza 64.650 0,61371
17º Cascavel Grande Fortaleza 72.720 0,61103
18º Beberibe Litoral Leste 53.114 0,59301
19º Viçosa do Ceará Serra da Ibiapaba 59.712 0,59241
20º Pacajus Grande Fortaleza 70.983 0,58943
21º Quixadá Sertão Central 84.168 0,58317
22º Canindé Sertões de Canindé 74.174 0,58259
23º Aquiraz Grande Fortaleza 80.645 0,58116
24º Morada Nova Vale do Jaguaribe 61.443 0,58026
25º Trairi Grande Fortaleza 58.415 0,56745
26º São Gonçalo do Amarante Grande Fortaleza 54.143 0,53893
27º Iguatu Centro Sul 98.064 0,51304
28º Pacatuba Grande Fortaleza 81.524 0,50615
29º Tianguá Serra da Ibiapaba 81.506 0,50398
Fonte: Ipece.